Trong quá trình hoạt động của hệ thống xử lý nước thải, việc sử dụng các loại hóa chất là không thể tránh khỏi đối với nhiều nhà vận hành. Các hóa chất này được sử dụng để hỗ trợ quá trình xử lý, bao gồm việc cung cấp dinh dưỡng để nuôi vi sinh Methanol, điều chỉnh pH và độ kiềm, sử dụng mật rỉ đường, hoặc sử dụng các hóa chất trợ keo tụ như PAC và Polymer, hóa chất điều chỉnh pH.
Việc sử dụng hóa chất như một phần quan trọng trong quá trình xử lý nước thải đang trở nên phổ biến hơn trong thời gian gần đây. Tuy nhiên, việc pha hóa chất một cách an toàn trong quá trình này vẫn là một thách thức đối với nhiều nhà vận hành. Để đảm bảo an toàn và hiệu quả trong việc sử dụng những loại hóa chất này như thế nào? Hiệu quả ra sao? Hãy cùng hóa chất Eco One tìm hiểu qua bài viết hướng dẫn cách pha hóa chất trong xử lý nước thải.
Bảng 1: Nồng độ tiêu chuẩn của hóa chất dùng cho xử lý nước thải thông dụng
| STT | HÓA CHẤT | ỨNG DỤNG | NỒNG ĐỘ TIÊU CHUẨN (%) |
| 1 | NaOH 99% | Điều chỉnh pH | 10 |
| 2 | HCl 32% | Điều chỉnh pH | 10 |
| 3 | H2SO4 98% | Điều chỉnh pH | 10 |
| 4 | Phèn đơn 99% | Keo tụ | 10 |
| 5 | PAC 99% | Keo tụ | 10 |
| 6 | Polymer Anion | Trợ lắng | 0,5 |
| 7 | Polymer Cation | Trợ lắng | 0,5 |
| 8 | Chlorine 72% | Khử trùng | 10 |
>>> Xem Thêm: Hóa chất Xử lý nước thải của Eco One
Xem nhanh
1. Công thức tính khối lượng chất tan và thể tích cần dùng để pha loãng
Hóa chất xử lý nước thải có 2 dạng là dung dịch và chất rắn vì vậy cũng có cần có 2 cách pha tương ứng với 2 dạng trên
1.1. Công thức tính khối lượng chất tan cần dùng để pha

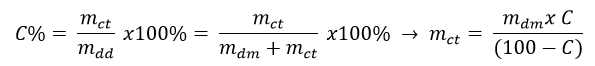
Công thức tính nồng độ phần trăm:

Trong đó:
– C%: Nồng độ phần trăm (%)
– mdd: Khối lượng dung dịch (mdd = mct + mdm) (Kg)
– Dung môi pha hóa chất bằng nước nên DH2O = 1 Kg/Lít
Khi đó hàm lượng hóa chất cần pha được xác định theo công thức sau:

Ví dụ: Pha 100 Lít NaOH 10% từ NaOH vảy.
Giải: Từ công thức trên ta suy ra:

Khối lượng NaOH cần dùng để pha:

Khối lượng dung dịch cần dùng: mdd = mH2O + mct => mH2O = 100 – 11.11 = 88.89 Lít
Vậy cần dùng 11,11 kg NaOH dạng vảy pha với 88,89 Lít nước thì thu được 100 Lít dung dịch NaOH 10%
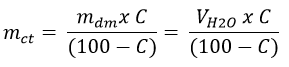
1.2. Công thức tính thể tích chất lỏng cần dùng để pha.

Do các dòng hóa chất xử lý nước thải tồn tại ở dạng dung dịch thì nồng độ phần trăm rất cao, gần như đậm đặc. Tuy nhiên khi dùng trong xử lý nước thải, để hiệu quả nhất thì chúng ta sẽ dùng đúng nồng độ tiêu chuẩn vì giúp căn chỉnh chính xác độ trễ, khuếch tán của hóa chất. Giúp nâng cao hiệu suất tối đa và tuổi thọ của bơm định lượng.
Công thức:
![]()
Trong đó:
– C là nồng độ (%)
– V là thể tích (Lit)
– C1,V1 là nồng độ thể tích chuẩn ban đầu.
– C2,V2 là nồng độ thể tích sau khi pha.
Ví dụ: Pha 100 lít HCl nồng độ 10%, từ HCl 32%.
Giải: Từ công thức trên ta suy ra:
![]()
=> V1 = 10.100/32 = 31,25 Lít HCl
=> Như vậy cần 31,25L Hcl 32% để pha ra 100 Lít HCl 10%.
Thể tích nước cần dùng để pha: 100 – V2 = 100 – 31,25 = 68,75 Lít
Vậy cần dùng 31,25 Lit HCl 32% pha với 68,75 Lít Nước thì thu được 100 Lít HCl 10%.
2. Cách xác định lượng tiêu hao hóa chất cho hệ thống xử lý nước thải theo công suất
| STT | HÓA CHẤT | ỨNG DỤNG | ĐỊNH LƯỢNG TIÊU CHUẨN m1 (mg/l) |
| 1 | NaOH 99% | Điều chỉnh pH | 50 |
| 2 | HCl 32% | Điều chỉnh pH | 30 |
| 3 | H2SO4 98% | Điều chỉnh pH | 30 |
| 4 | Phèn đơn 99% | Keo tụ | 300 |
| 5 | PAC 99% | Keo tụ | 250 |
| 6 | Polymer Anion | Trợ lắng | 3 |
| 7 | Polymer Cation | Trợ lắng | 3 |
| 8 | Chlorine 72% | Khử trùng | 10 |
Công thức tính:
Ta có quy đổi: 1m3 = 1000 Lít nước
Để xác định lượng tiêu hao hóa chất tính cho 1 tháng ta có công thức:
![]()
Trong đó:
– mth: Khối lượng tiêu hao hóa chất của hệ (mg)
– m1: Định lượng tiêu chuẩn (mg/l)
– Phệ: Công suất xử lý của hệ thống (m3)
3. Cách pha hóa chất rắn và dung dịch an toàn

3.1. Cách pha hóa chất dạng rắn
Thể tích bồn chứa: 250 lít
Trình tự pha hóa chất xử lý nước thải:
- Bước 1: Tính toán lượng hóa chất và dung môi cần sử dụng để pha theo đúng nồng độ mong muốn
- Bước 2: Tắt bơm hóa chất.
- Bước 3: Cấp nước vào bồn chứa khoảng 1/2 bồn (125 lít).
- Bước 4: Từ từ cấp lượng hóa chất rắn vào bồn chứa.
- Bước 5: Bật máy khuấy và tiếp tục cấp nước vào bồn chứa đến mức 250 lít.
- Bước 6: Bật bơm hóa chất chạy bình thường.
3.2. Cách pha hóa chất dạng lỏng
Thể tích bồn chứa: 250 lít
Trình tự pha hóa chất xử lý nước thải:
- Bước 1: Tính toán thể tích hóa chất và dung môi cần sử dụng để pha theo đúng nồng độ mong muốn
- Bước 2: Tắt bơm hóa chất.
- Bước 3: Cấp nước vào bồn chứa khoảng 3/4 bồn (187 lít).
- Bước 4: Từ từ cấp hóa chất lỏng vào, cho từ từ vào bồn.
- Bước 5: Bật máy khuấy tốc độ chậm và tiếp tục cấp nước vào bồn chứa đến mức 250 lít.
- Bước 6: Bật bơm hóa chất chạy bình thường.
Lưu ý: Hóa chất dạng lỏng chủ yếu là Axit dạng đậm đặc nên khi pha để đảm bảo an toàn cần ghi nhớ rõ nguyên tắc pha Axit chỉ được đổ Axit vào nước chứ không được làm ngược lại.
4. Lưu ý khi tiến hành pha hóa chất
Khi tiến hành pha hóa chất, đặc biệt là trong lĩnh vực xử lý nước thải, có một số lưu ý quan trọng mà nhân viên cần tuân thủ để đảm bảo an toàn và hiệu quả trong quá trình làm việc:
Đọc kỹ hướng dẫn sử dụng: Trước khi bắt đầu, đảm bảo đã đọc và hiểu rõ hướng dẫn sử dụng của từng loại hóa chất mà bạn sẽ sử dụng.
Mặc định quần áo bảo hộ: Luôn luôn mặc định quần áo bảo hộ như áo phản quang, găng tay, mũ bảo hộ và kính bảo hộ để bảo vệ cơ thể khỏi tiếp xúc trực tiếp với hóa chất.
Sử dụng thiết bị bảo hộ: Đảm bảo rằng bạn sử dụng thiết bị bảo hộ như mặt nạ phòng độc, khẩu trang, và các thiết bị che mặt khi cần thiết để tránh hít phải hơi hoặc bụi hóa chất.
Sử dụng dung cụ đo lường chính xác: Luôn sử dụng dung cụ đo lường chính xác như cốc đo, ống đo, hoặc cân điện tử để đảm bảo rằng bạn sử dụng lượng hóa chất đúng lượng cần thiết.
Tránh pha trộn hóa chất không an toàn: Không bao giờ pha trộn các loại hóa chất mà không biết rõ về tính chất của chúng hoặc có thể tạo ra phản ứng không an toàn.
Pha hóa chất trong môi trường thoáng đãng: Luôn luôn pha hóa chất trong môi trường thoáng đãng để giảm thiểu nguy cơ hít phải hơi hoặc bụi hóa chất độc hại.
Tuân thủ quy trình an toàn: Luôn tuân thủ quy trình an toàn và hướng dẫn của công ty hoặc tổ chức về việc sử dụng và xử lý hóa chất.
Xử lý chất thải một cách an toàn: Sau khi sử dụng, đảm bảo rằng bạn xử lý chất thải hóa chất một cách an toàn theo quy định của luật pháp và hướng dẫn của nhà sản xuất.
Làm việc nhóm (nếu cần thiết): Trong một số trường hợp, làm việc nhóm có thể giúp tăng cường an toàn và hiệu quả trong việc pha hóa chất, đặc biệt là khi xử lý các loại hóa chất độc hại.
Báo cáo sự cố: Nếu có bất kỳ sự cố hoặc vấn đề an toàn nào xảy ra trong quá trình pha hóa chất, hãy báo cáo ngay lập tức cho quản lý hoặc người có trách nhiệm để họ có thể đưa ra biện pháp khắc phục kịp thời.
5. Lí do chọn đơn vị Hóa chất Eco One Việt Nam làm đơn vị cung ứng hóa chất xử lý nước thải chuyên dụng hiện nay
Việc chọn đơn vị Hóa chất Eco One Việt Nam làm đối tác cung ứng hóa chất xử lý nước thải chuyên dụng hiện nay có thể được lựa chọn với một số lý do sau:
- Chất lượng sản phẩm: Eco One là một đơn vị đã được công nhận về chất lượng sản phẩm của họ. Các sản phẩm của họ được sản xuất và kiểm định theo các tiêu chuẩn cao và đáng tin cậy.
- Kinh nghiệm và uy tín: Eco One đã có một lịch sử hoạt động dài hạn trong ngành công nghiệp xử lý nước thải. Uy tín của họ được xây dựng dựa trên kinh nghiệm và sự chuyên nghiệp trong cung cấp các sản phẩm và dịch vụ.
- Đội ngũ chuyên gia: Eco One có đội ngũ chuyên gia giàu kinh nghiệm trong lĩnh vực hóa chất và xử lý nước thải. Sự hiểu biết sâu sắc và sự am hiểu về yêu cầu cụ thể của khách hàng giúp họ cung cấp các giải pháp tối ưu và tùy chỉnh.
- Dịch vụ hỗ trợ khách hàng: Eco One cam kết cung cấp dịch vụ hỗ trợ khách hàng chuyên nghiệp và hiệu quả. Họ đặt sự hài lòng của khách hàng lên hàng đầu và luôn sẵn lòng hỗ trợ và tư vấn trong mọi vấn đề liên quan đến sản phẩm và dịch vụ của họ.
- Giá cả hợp lý: Eco One cung cấp các sản phẩm với mức giá cạnh tranh và hợp lý trên thị trường. Họ cam kết cung cấp giá trị cao cho khách hàng thông qua các sản phẩm chất lượng và dịch vụ tốt.
Việc chọn Eco One Việt Nam làm đối tác cung ứng hóa chất xử lý nước thải chuyên dụng là một sự lựa chọn hợp lý dựa trên uy tín, chất lượng sản phẩm, dịch vụ hỗ trợ khách hàng và giá cả cạnh tranh của họ trong ngành công nghiệp.
CÔNG TY TNHH ECOONE VIỆT NAM
Chi nhánh miền Bắc: Số 8, đường CN6, Cụm công nghiệp vừa và nhỏ Từ Liêm, Bắc Từ Liêm, Hà Nội.
Email: Ninhkysuhoachatecoone@gmail.com
Website: Sieuthihoachatcongnghiep.com

